Question 1.

Why are some substances biodegradable and some non-biodegradable?
Answer.
Substances: The substances that are broken down by biological processes, such as the action of bacteria and, other saprophytes into simpler harmless substances in due course of time are called biodegradable substances. Domestic waste products, urine and faecal matter, agricultural wastes, wood, paper, cloth, etc. are examples of biodegradable substances.

Non-biodegradable Substances: The substances that are not broken down by biological processes, but are acted upon by physical processes like heat and pressure under the ambient conditions found in the environment are called non-biodegradable substances. Plastics, glass objects, polythene bags, pesticides, metals such as mercury and lead, radioactive wastes, etc. are non-biodegradable substances.

Question 2.
Give any two ways in which biodegradable substances would affect the environment.
Answer.

  1. The biodegradable substances can readily decompose. However, it may give out foul smell during the decomposition process.
  2. Flies breeding on the biodegradable substances would spread diseases like cholera, malaria, etc.

Question 3.
Give any two ways in which non-biodegradable substances would affect the environment.
Answer.

  1. They increase the burden on the environment as they cannot decompose and simply
    accumulate, causing land and water pollution.
  2. Pesticides and chemicals enter the food chains and cause biomagnification.

Question 4.
What are trophic levels? Give an example of a food chain and state the different trophic levels in it.
Answer.
Trophic Levels: The various steps or levels in a food chain where the transfer of food energy takes place are called trophic levels. Producers or autotrophs constitute the first trophic level. Herbivores or primary consumers constitute the second trophic level. Carnivores or secondary consumers constitute the third trophic level. Top carnivores or tertiary consumers constitute the fourth trophic level.

Food Chain: A sequence of living organisms in which each organism feeds on the other, resulting in the transfer of food energy is known as food chain, e.g.
NCERT Solutions for Class 10 Science Chapter 15 Our Environment 1

Question 5.
What is the role of decomposers in the ecosystem?
Answer.

  1. Decomposers break down complex organic molecules of dead remains and wastes into simple organic molecules which can be easily absorbed by the plants.
  2. Decomposers channelise the raw materials and return it back to the environment. So, they maintain the nutrient pool of nature.
  3. They act as cleansing agent? of environment.

Question 6.
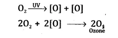
What is ozone and how does it affect any ecosystem?
Answer.
Ozone Depletion

  1. Ozone is a molecule formed by three oxygen atoms.
  2. It is a deadly poison.
  3. At higher levels of the atmosphere, it forms an ozone layer which protects the earth’s surface from harmful ultraviolet (UV) radiations from the sun.
  4. The UV radiation splits molecular oxygen (02) into free oxygen atoms which combine with molecular oxygen to form a molecule of ozone
    NCERT Solutions for Class 10 Science Chapter 15 Our Environment 2
  5. Some ozone depleting substances like chloro- fluorocarbons react with ozone present in the stratosphere and depletie the ozone layer which causes global wanning.

Harmful Effects of Ozone Depletion

  • Skin cancer
  • Cataract
  • Weakening of the immune system
  • Decrease in reproductive capacity
  • Inhibition of photosynthesis

Question 7.
How can you help in reducing the problem of waste disposal? Give any two methods.
Answer.

  1. By maximising the use of articles which can be reused.
  2. By segregating the wastes before disposing. This will help us to identify the recyclable items.

Chapter End Questions

Question 1.
Which of the following groups contain only biodegradable items?
(a) Grass, flowers and leather
(b) Grass, wood and plastic
(c) Fruit peels, cake and lime juice
(d) Cake, wood and grass
Answer.
(c) Fruit peels, cake and lime juice

Question 2.
Which of the following constitute a food chain?
(a) Grass, wheat and mango
(b) Grass, goat and human
(c) Goat, cow and elephant
(d) Grass, fish and goat
Answer.
(b) Grass, goat and human

Question 3.
Which of the following are environment- friendly practices?
(a) Carrying cloth bags to put purchases in while shopping
(b) Switching off unnecessary lights and fans
(c) Walking to school instead of getting your mother to drop you on her scooter
(d) All of the above
Answer.
(d) All of the above

Question 4.
What will happen if we kill all the organisms in one trophic level?
Answer.
If all the organisms of a trophic level are killed, then the number of organisms of the lower trophic level would increase tremendously. As a result of which, they would exhaust their food resources too quickly and themselves starve to death. The organisms of the next higher trophic level would die too because of non-availability of their food. Thus, if one trophic level is disturbed, then the entire food chain gets affected.

Question 5.
Will the impact of removing all the organisms in a trophic level be different for different trophic levels? Can the organisms of any trophic level be removed without causing any damage to the ecosystem?
Answer.
Yes, the impact of removing all the organisms in a trophic level be different for different trophic levels. For example, if in a forest ecosystem, all the carnivores, like lions, at the third trophic level are removed, the number of herbivores in the second trophic level would go on increasing. The herbivores would eat up all the plants and turn the area into desert If all the herbivores are removed, then the vegetation would go on increasing and the carnivores feeding on them would die of starvation or migrate to other places. No, the organisms of any trophic level cannot be removed without causing any damage to the ecosystem.

Question 6.
What is biological magnification? Will the levels of this magnification be different at different levels of the ecosystem?
Answer.
Biomagnification: The phenomenon that involves progressive accumulation of non-biodegradable chemicals at each trophic level is called bio-magnification or bio-accumulation. The maximum concentration of non-biodegradable chemicals gets accumulated in the body of human beings.

The level of biological magnification would not be same at each level. It will go on increasing as . we move to higher trophic levels.

Question 7.
What are the problems caused by the non- biodegradable wastes that we generate?
Answer.

  1. The biodegradable substances can readily decompose. However, it may give out foul smell during the decomposition process.
  2. Flies breeding on the biodegradable sub- ‘ stances would spread diseases like cholera, malaria, etc.

Question 8.
If all the waste we generate is biodegradable, will this have no impact on the environment?
Answer.
Abundance of biodegradable waste encourages bacterial growth. These bacteria when break down the waste, several foul smelling gases are evolved, due to which the air gets polluted. If the biodegradable waste gets piled into water bodies, the bacteria decomposing them will soon depletes the available oxygen supplies leading to the death of all aerobic life forms including itself. The only organisms able to survive are anaerobic bacteria.

Question 9.
Why is damage to the ozone layer a cause for concern? What steps are being taken to limit this damage?
Answer.
Ozone layer is like a protective shield for the earth. It wards off harmful ultraviolet radiations coming from the sun. Damage to this layer can result in increased level of ultraviolet radiations filtering into our atmosphere. This would prove to be dangerous for all life forms.

In 1987, UNEP succeeded in bringing 24 countries together to sign a contract. It is known as the famous ‘Montreal Protocol’. The Montreal Protocol highlighted the substances that cause depletion of the ozone Layer. The protocol asked the nations to limit the use of CFCs, halons and other man-made Ozone Depleting Chemicals (ODCs). It also asked the nations to look for alternate technology to replace CFCs.

NCERT Solutions